File submitted for USGenWeb/MOGenWeb Lincoln County page by Doris Martin Jablonski, 13 April 2007.
Pages from the Journal of the Corinth Christian Church, Foley, MO
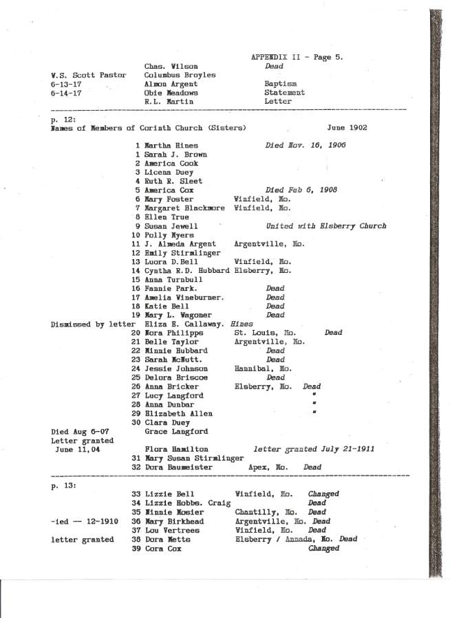
Scanned from A Summary of the Journal of the Corinth Christian Church,
Lincoln County Missouri, 1900-1969
Submitted by Doris Jablonski; acquired from the Family History Library, Salt Lake City,
Utah.






File submitted for USGenWeb/MOGenWeb Lincoln County page by Doris Martin Jablonski, 13 April 2007.
USGENWEB NOTICE: In keeping with our policy of providing free genealogical information on the Internet, data may be freely used for personal research and by non-commercial entities, as long as this message remains on all copied material. These electronic pages may NOT be reproduced in any format for profit or presentation by other organization or persons. Persons or organizations desiring to use this material for profit or any form of presentation, must obtain the written consent of the file submitter, or their legal representative, and contact the listed USGenWeb archivist with proof of this consent.
Return to USGW/MOGW Lincoln County, Missouri:
Church Records Index | Marriage
Records Index | Heritage Page |
Home Page